8/17/18
rev 1/1/21,3/2/21
Climate Change
Drivers*
Dan Pangburn, P.E.** (ret),
MSME, ASME life member
pangburndan@gmail.com
CONTENTS
1. Introduction
2. CO2
does not control climate
3. Environmental Protection
Agency mistakes
4. Thermalization
reduces CO2 influence on climate. How GHE works.
5.
Radiance calculated by MODTRAN6
6. Water vapor
7. Effect of water
vapor increase
8. Water vapor change
with time
9. World Sources of Increased
Water Vapor
10. Effect of TPW increase on clouds
11. Approximate
effect on the planet of the net of ocean surface temperature (SST)
12. Comparison of
approximation with ‘named’ ocean cycles
13. Atmospheric
carbon dioxide
14. Climate
sensitivity determined using MODTRAN6
15. Sunspot numbers
16. AGT measurement
data set
17. The AGT Model
18. Comments
regarding the method used in developing and using Equation (1)
19. Results from the AGT model
20. Attribution
quantified by sunspot number anomaly proxy.
21. Hind Cast
Estimate
22. Step changes in
AGT are not possible
23. Caveats on
Predictions
24. Conclusions
25. References
· * This document is periodically updated to improve clarity and
incorporate revisions, improvements, and new data.
** P.E.
stands for Professional Engineer. A Professional Engineer is a person who has
been tested by and certified by a state government as one who, subject to
liability, may decide the design and functional adequacy of things that, if
inadequate, could endanger the public.
Summary
Thermalization and the steep decline with altitude, up to
the tropopause, about 8-14 km, of the population density of water vapor (WV)
molecules, explain why water has a dominate effect on climate. Atmospheric
carbon dioxide (CO2) and other trace greenhouse gases have little if
any effect on climate. Much of upward photon emission from water vapor molecules
goes directly to space progressively more with increasing altitude especially up
to the tropopause, about 10 km on average, 14 km at low latitudes. Above this,
nearly all of emission from water vapor with wavenumber less than about 550/cm
escapes directly to space.
Reported average global temperature (AGT) since before 1900
is accurately explained (96+% match with measured trend 1895-now). Although the
influence of WV increase is closely proportional to the increase due to the sun
(which is quantified by a proxy; the time-integral of sunspot number
anomalies), the temperature change 1909-now is probably best explained by derived
attribution of ocean cycles to the average global temperature rise, sunspot
number anomaly proxy and increased atmospheric water vapor . Since about 2005 the
increasing water vapor has been countering the AGT decline which would
otherwise be occurring.
A note about insignificant
factors:
In just about all properties and processes there are
inconsequential exceptions and/or uncertainties. These are often allowed-for by
claiming them to be ‘insignificant’. In all that follows, insignificant factors
are excluded whether explicitly stated or not.
Meaning of terms
The words ‘water
vapor’ can be a bit misleading. WV is a transparent gas. If something is visible,
like steam or a cloud, it is not WV but is condensed liquid water droplets or
tiny bits of ice.
The term ‘vapor
pressure’ has different meanings in different disciplines. In meteorology it
means the partial pressure of WV in the atmosphere. In most other disciplines
and general use, it means the pressure developed by the liquid as a result of
its impetus to change phase and become a gas. This impetus depends only on the
temperature of the liquid water. It is unambiguously called saturation vapor pressure.
In this document, the saturation vapor pressure is referred to simply as vapor
pressure (VP). The pressure of WV in the atmosphere might be identified as its
partial pressure.
Another
difference in term usage is the meaning of the word ‘feedback’. In engineering
it usually refers to feedback factor, a dimensionless number which is the ratio minus 1 of response with feedback to the response if there were no feedback. In most
science disciplines it refers to the magnitude of the response to a forcing
which contributes to the cause of the forcing. In Climate Science it is
measured in W/m2.
1. Introduction
The only way that energy can significantly leave
earth is by thermal radiation. Only solid or liquid bodies and greenhouse gases
(ghg) can absorb/emit in the wavelength range of significant terrestrial
radiation. Ghg significantly absorb/emit only at specific wavelengths which are
characteristic for each molecule specie. They both absorb and emit at the same
frequency signature. Both magnitude and frequency can be calculated using Quantum Mechanics [52] (some prefer to call it Quantum
Physics). In the range of terrestrial temperatures, non-ghg must
transfer energy by thermal conduction in the gas to ghg (or to liquid or solid
bodies) for this energy to be radiated. Note: The expression ‘greenhouse gas’
is somewhat misleading (greenhouses actually work primarily by suppressing
convection). A more correct understanding is that so-called ghg can
significantly absorb/emit radiation in the wavelength range of significant
infrared radiation associated with earth temperatures.
The word ‘trend’ is used here for temperatures in two
different contexts. To differentiate, α-trend (period about 64 yr) is an
approximation of the net of measured ocean surface temperature oscillations
after averaging-out the year-to-year fluctuations in reported average global
temperatures. The term β-trend (period = centuries) applies to the slower
average energy change of the planet which is associated with change to the
average temperature of the bulk volume of the material (mostly ocean water)
involved.
Some ocean cycles have been named according to the particular area
of the oceans where they occur. Names such as PDO (Pacific Decadal
Oscillation), ENSO (el Nino Southern Oscillation), and AMO (Atlantic Multi-decadal
Oscillation) might be familiar. They report the temperature of the water at or
near the surface. The average temperature of the bulk water that is
participating in these oscillations cannot significantly change so quickly
because of high effective thermal capacitance [1]. The effective thermal
capacitance of the planet is approximately equivalent to the top 110 meters of
the oceans.
This high thermal capacitance absolutely prohibits the rapid (year-to-year)
AGT fluctuations which have been reported, from being a result of any credible net
forcing. According to one assessment [1], the time constant (time to reach
63.2% (=1-1/e) of the final change following a step change in forcing) is about
5 years. A likely explanation for much of the reported year-to-year
fluctuations is that they substantially involve the roiling (at the observed
tiny fluctuation magnitude) ocean surface [44]. Volcanic activity is
occasionally also a temporary contributor. A simple
calculation shows the standard deviation of the reported annual average surface
measurements to be about ±0.09 K with respect to a smoothed trend.
The ꞵ-trend is a better indicator of the change in global energy;
which is the difference between energy received and energy radiated by the
planet.
Knowledge of the kinetic theory of gases, thermalization,
Maxwell-Boltzmann distribution of energy among atmospheric gas molecules, some
thermodynamics, the absorb/emit wavelengths of water vapor and other ghg, heat
transfer analysis, and the rudiments of Quantum Mechanics provide understanding
and a rational explanation of what
happens with terrestrial thermal radiation.
All gas molecules which are significantly IR-active at earth
temperatures are called ghg molecules. This includes water vapor molecules.
2. CO2
does not control climate
What
is meant by the statement that carbon dioxide (CO2) is a greenhouse
gas (ghg)? If by that is meant CO2 absorbs electromagnetic radiation with
a wave length of 15 microns (including +/- a micron or so due mostly to
pressure broadening, especially near sea level), well, that was demonstrated in
the lab a long time ago and remains true. But if by that is meant CO2 substantially
contributes to global warming, there is multiple compelling evidence (most
identified earlier [2] ) that CO2 has little, if any, controlling effect
on climate:
2.1. In the late Ordovician Period (about 450 mya), the planet plunged into and
warmed up from the Andean/Saharan ice age, all at about 10 times the current CO2
level [3].
2.2. Over the
Phanerozoic eon (last 542 million years) there is no correlation between CO2 level and AGT [3].
2.3. Antarctic
ice core data show that during the last and previous glaciations AGT trend
changed direction before CO2 trend [2].
2.4. Since 2001, average
temperature uptrend calculated by Global Climate Models (GCMs, aka General
Circulation Models) which assume CO2 causes Anthropogenic Global Warming (AGW) is about twice what is measured. [13]. The one Russian model output essentially matches measurements
but carries the usual ‘free world’ suspicions as to its authenticity. This is
shown, with recent data added, on Figure 0.1.
Figure 0.1: Comparison of GCM output with
measured.
2.5. Analysis of CO2
and Temperature data 2002-2008 shows a close correlation between dCO2/dT and
lower tropospheric temperature. This demonstrates that CO2 level follows
temperature and not the reverse. [30]
2.6. Average global water vapor has been increasing
faster than possible, calculated on the basis of increased vapor
pressure of water resulting from temperature increase of the liquid surface water.
(Section 8 here) This demonstrates
that average global temperature increase has been driven by water vapor
increase, not the reverse.
2.7. The data from all reporting agencies agree that at least as far back as 2002 average
global temperature tracks WV not CO2 (Figure 0.2).
Figure 0.2 Average global
temperature tracks water vapor not CO2.
2.8. Hitran [52] using Quantum
Mechanics calculates, besides many other things, the relative absorb/emit
intensity of water vapor molecules vs CO2 molecules. Comparison at
zero altitude is shown in Figure 0.25. Comparison by the ratio of the summation
of the products intensity times wavenumber for each transition for each molecule
species is (Σ Ii
* wni)WV / (Σ Ij * wnj)CO2 ≈ 1520/46 = 33. On average at ground level, according to the comparatively
low populations used by Hitran, WV molecules outnumber CO2 molecules by about
8,000/330 ≈ 24 to one. After accounting for molecule count, each WV molecule is
still 33/24 ≈ 1.37 times more effective at warming (absorb/emit of thermal
radiation) than a CO2 molecule.
The relative effectiveness of the increases of WV and CO2
over the last 30 years is calculated as follows:
CO2 increase [21] in 3 decades, 1988 to 2018: 407 -
348 = 59 ppmv
Average global water vapor increase trend from Figure 3,
which is a graph of NASA/RSS TPW data, is 0.04272/28.9 * 100 * 10 = 1.47 % per
decade.
From Figure 2, at 30 degrees latitude (area to pole = area
to equator) average global WV = 10,000 ppmv. WV increase in 3 decades = .0147 *
10,000 * 3 = 441 ppmv
Therefore, WV increase has been 441/59 * 1.37 ≈ 10 times
more effective at increasing ground level temperature than CO2 increase
1988-2018. (Much of the world human population has been falsely indoctrinated)
Well above the tropopause, radiation emitted from
molecules there to space is primarily from CO2 molecules. If you ignore the
increase in water vapor (big mistake), near the surface, WV averages about
10,000 ppmv. The increase in absorbers at ground level since 1900 is then about
10,410/10,295 ≈ 1%. WV above the tropopause is limited to about 32 ppmv because
of the low temperature (~ -50 °C) while the CO2 fraction remains essentially
constant with altitude at (in 2019) about 410 ppmv; up from about 295 ppmv in
1900. The increase in emitters to space at high altitude (~> 20 km, 0.055
atm), and accounting for the lower atmospheric pressure, is (410 + 32)/(295 +
32) * 0.055 ≈ 7.4%. This explains why CO2 increase does not cause significant
warming (except at the poles). The result being that Climate Sensitivity is not
significantly different from zero.
The exception at the poles is because
it’s cold there at ground level so WV molecule count is already low. Therefore,
redirection of energy to WV molecules which radiate it to space does not occur.
Figure 0.25: At zero altitude, CO2 absorb/emit is barely discernable
compared to WV.
2.9. Global
average water vapor is about 10,000 ppmv (Figure 2). Based on TPW percent
increase (Figure 3), WV increase since 1988 has been about 0.0425/29 * 10,000 =
14.66 ppmv per year. CO2 (348 ppmv in 1988) increase has been about (410 –
348)/30 = 2.067 ppmv per year. Therefore, about 14.66/2.067 ≈ 7 WV molecules
were added for each CO2 molecule.
2.10. CO2 increased 2002 to 2018 by 40%
of the increase 1800 to 2002
1800 avg. Lawdome, Neftel, Friedli = 281.6 ppmv
2002 avg. Mauna Loa/Keeling = 373.3 ppmv
Nov, 2018 Keeling = 410.0 ppmv
(410-373.3)/(373.3-281.6) = 0.40 à 40%
The recent
temperature data which track water vapor, and two previous 30+ year downtrends
in temperature with relentlessly rising CO2, demonstrate that CO2
has little if any effect on average global temperature. A possible explanation
for the insensitivity of AGT to CO2 is that the small percent
increase in the number of absorbers near the surface (water vapor and CO2)
is compensated for by the large percent increase in emitters (mostly CO2)
above the tropopause. [51]
3. Environmental Protection
Agency mistakes
The US EPA asserts [10] Global Warming Potential (GWP) is a
measure of “effects on the Earth's warming” with “Two key ways in which these
[ghg] gases differ from each other are their ability to absorb energy (their
"radiative efficiency"), and how long they stay in the atmosphere
(also known as their "lifetime").”
The EPA calculation overlooks the very real phenomenon of
thermalization. Trace ghg (all ghg except water vapor) have little if any effect on
climate because absorbed energy is immediately thermalized which allows the
energy to be redirected to water vapor [51]. Thermalization is a key factor in
understanding the radiant energy flow by which CO2 and other ghg
except water vapor (WV) have little if any effect on climate.
The EPA calculation of the GWP of a
ghg also erroneously overlooks the fact that any added outgoing radiation cooling from the
increased temperature the ghg might have produced is also integrated over the
“lifetime” of the gas in the atmosphere so the duration in the atmosphere
‘cancels out’. Therefore GWP, as calculated by the EPA, egregiously
overestimates the influence on average global temperature of noncondensing
greenhouse gases. The influence (forcing) of a ghg cannot be more than
determined by its immediate concentration.
The EPA assessment completely
ignores the effect of water vapor which, by far, is the most important ghg and
appears to be the only significant ghg.
4. Thermalization reduces
CO2 influence on climate.
At a scale of
the size of atoms, the atmosphere consists of gas molecules with empty space
between them. Activity of the gas molecules determines the properties which can be measured as
temperature and pressure. Imagery of the activity of the molecules making up
the atmosphere is helpful. Wikipedia, in the article on kinetic theory of
gases, has a pretty good 2-D animation of the 3-D activity. It shows simulated
molecules bouncing elastically off each other and the walls of the container.
At any point in time, the speed (and energy) of the molecules ranges from zero
to high values with the highest probability being towards the low end. (This
fairly simple perception works well for consideration of macroscopic properties
such as pressure, temperature and viscosity. A deeper understanding involves
probability, molecule configuration, electric fields and the sometimes
contentious Quantum Mechanics.)
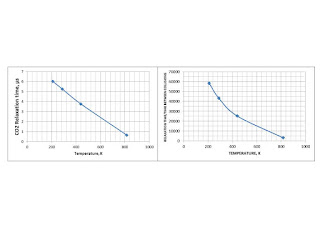
The relaxation time (average amount of time that passes
between absorption and emission of a photon by a molecule) for CO2
in the atmosphere is temperature dependent [5, 6, 49]. (Common sense mandates
that if relaxation time was zero there would be no way to determine absorption)
The temperature dependency is shown in Figure 0.3. The elapsed time between
collisions between gaseous molecules at sea level average temperature and
pressure is about 0.0002 µsec [7]. Collisions
result in transferring at least part of the momentum and energy, which a ghg
molecule acquired from the photon, to neighboring molecules. After multiple
collisions, essentially all of the added photonic energy becomes distributed
among other molecules. The energy in all absorbed photons is thermalized.
Figure 0.3: EMR
energy absorbed by CO2 is thermalized. [5, 6, 49]
Radiation energy transfer at the gas molecule level is the
mechanism of the misleadingly named greenhouse effect (GHE). Radiation energy travels
from molecule to molecule at the speed of light but dwells in the ghg molecules
for the relaxation time. More ghg molecules means longer cumulative dwell.
This slows passage of the energy through the atmosphere so a steeper temperature
gradient (higher surface temperature) is required to maintain the energy flux.
The process of sharing the energy with other molecules is
thermal conduction in the gas. The process of absorbing photons and sharing the
absorbed energy with other molecules is thermalization. Thermalized energy carries no identity of the molecule
that absorbed it. Ghg
molecules can absorb/emit only photons with certain quanta of energy. Energy
itself is quantized at the extremely fine level of 6.626E-34 J s (Planck
constant). For all practical purposes, the wavelength spectrum is continuous
and there are no forbidden wavelengths of photons. But only terrestrial
wavelength photons at about 15 microns can be absorbed/emitted by CO2 molecules.
Emission of
electromagnetic radiation from both solid and liquid surfaces of the earth
complies with the Planck spectrum (with emissivity ≈0.99) and Stephan-Boltzmann
(T4) law. Most particles of clouds, smoke and aerosols emit
similarly because they typically contain millions of molecules. Emission of
radiation from gas molecules is different (the only gas molecules which can
absorb/emit significantly at earth temperatures are ghg molecules i.e. they are IR-active). Emission
from ghg is restricted to specific wavelengths which are characteristic for
each ghg species. Potential for emission depends on the energy levels of
individual molecules. Molecule energy levels are determined probabilistically
according to the Maxwell-Boltzmann distribution. The average molecule energy
level of the Maxwell-Boltzmann distribution exhibits as the temperature of the
gas.
A ghg molecule which
is above absolute zero will emit photons (of allowed wavelength for that
molecule). This radiant thermal emission from a gas which contains both ghg and
non-ghg involves, for lack of a better term, reverse-thermalization, where ghg
which have been cooled by photon emission are rewarmed by thermal conduction
from surrounding molecules. Reverse-thermalization might alternatively be
explained by collisions at adequate energy level between like-species of ghg
molecules. The end result at the macro level would look about the same (emission
from the planet, except at the poles, is dominated by water vapor molecules).
Significant terrestrial thermal radiation is nearly all in
the wavelength range 6.5-200 microns (wavenumber 1538-50/cm). (Note: Divide 104
by either one to get the other; e.g. 104/wavenumber 667 = 15
microns, 104/15 microns = wavenumber 667). An early report, which was
useful for development of guided missiles, is helpful in understanding Quantum Mechanics as applied to water vapor and carbon dioxide in the atmosphere [45].
Radiation from
the surface is very close to the Planck spectrum from a black body at the
specified surface temperature. Below wavenumber 550 about 95% of thermal
radiation that gets absorbed from the surface is absorbed by WV within the
first meter; 99% within two meters. Above about 550/cm the absorption by WV
declines rapidly and absorption by CO2 increases. But the population
of CO2 is so low that even at the peak of CO2 absorption
at 667/cm these levels of absorption are not reached for several km altitude.
The energy absorbed by the CO2 is redirected to WV via
thermalization. More CO2 simply means that the energy redirection
occurs at lower altitudes.
Thermalized energy carries no identity of the molecule that
absorbed it. The thermalized radiation warms the air, reducing its density,
causing updrafts which are exploited by soaring birds, sailplanes, and
occasionally hail. Updrafts are matched by downdrafts elsewhere, usually spread
out but sometimes recognized by pilots and passengers as ‘air pockets’ and micro
bursts.
A common observation of thermalization by way of water vapor
is cloudless nights cool faster and farther when absolute water vapor content
of the atmosphere is lower. This simple observation also demonstrates the
existence of the misleadingly named greenhouse effect (GHE) and that water
vapor is a ghg.
5. Radiance
calculated by MODTRAN6
MODTRAN6 [48] is
a computer program developed for the Airforce Research Laboratory which
(besides other things) can calculate the radiation flux at selected elevations
in the atmosphere for specified constituents and conditions. It contains
default values for several environments including the tropics and the 1976
Standard Atmosphere. Values for the rate-of-change of water vapor and
atmospheric temperature vary with altitude for different latitudes and seasonal
conditions as shown in MODTRAN documentation [28].
Figures 0.5 and
0.6 are typical graphs calculated by MODTRAN6. They show radiation flux
absorbed by ghg other than water vapor (WV) being redirected to WV with
increasing altitude. The redirection is quantified by the progressively
increasing depth of the ‘notches’ at the characteristic wavenumber ranges for
each ghg (except WV). Note that, for CO2, the redirection at 20 km
is greatest and at 50 km and higher some of the flux returns to the CO2
molecules. Somewhere in the vicinity of 20 km some of the energy is redirected
back to the CO2.
The ‘notches’
are evidence of energy redirection from CO2 to WV. Redirection is
possible because of continuous thermalization and reverse-thermalization at all
altitudes in the gaseous atmosphere.

Figure
0.5: TOA flux for 1976 Standard Atmosphere at MODTRAN6 default values.
Figure 0.6: TOA flux for tropics atmosphere at MODTRAN6 default values.
Figures 0.5 and 0.6 are somewhat misleading;
especially below about 10 km, because they are accounting for the entire energy
flux including that involving latent heat and solar energy absorbed directly by
atmosphere and clouds. Approximately 161 W/m2 of solar energy
reaches the solid and liquid surfaces of the planet [29]. Added to this is
about 16 W/m2 of broad spectrum radiation from clouds which reaches
the surface through the atmospheric window. The
energy leaving the surface includes about 78 W/m2 from heat of
vaporization of water (annual rainfall averages about a meter and what comes
down had to have gone up). Another 17 W/m2 has been added by
convective heat transfer, leaving 161 + 16 – 78 – 17 = 82 W/m2 in
thermal radiation. This compares favorably to up radiation minus down radiation
of 345 – 271 = 74 W/m2 at zero altitude as calculated by MODTRAN6 but is only about
73% of 382 – 269 = 113 W/m2 as calculated by MODTRAN.
The non-radiant flux is replaced with
radiant flux and the solar energy that was absorbed by the atmosphere and
clouds are incorporated with increasing altitude. Most of this takes place by
about 10 km (32,808 ft) so the graphs at 20 km and higher should be reasonably valid for
radiance.
Most of the photons emitted by the water vapor molecules are
at wavelengths different from the comparatively narrow band that CO2
molecules can absorb. The greatly reduced population of water vapor molecules
above about 10 km means fewer molecules capable of absorbing radiation from
water vapor molecules at lower elevation so most of the outward directed photons at these lower
wavenumbers go directly to space. Effectively, much of the terrestrial thermal
radiation energy absorbed by CO2 (and other non-condensing ghg) is
thermalized, redirected to, and radiated to space from water vapor molecules.
At very high altitudes, temperature, molecule spacing and
time between collisions increases to where reverse-thermalization to CO
2
(and O
3) molecules becomes significant as does radiation from them
to space.
This causes the spikes at the nominal wavenumbers of CO
2
and O
3.
Results from both MODTRAN and
MODTRAN6 contribute to a credible approximation of the transition of the sum of
convective, latent and radiative energy flux at the surface to purely radiative
energy flux at top-of-atmosphere (TOA). This approximation, using the default data in the codes for
standard atmosphere, is shown in Figure 0.7.
Figure
0.7: Approximate transition of surface energy flux to purely radiant flux at
TOA.
Figures 1 and 1.5 are typical graphs showing TOA thermal radiation from the planet. The TOA radiation from different
locations on the planet can be decidedly different, e.g. as shown in Figure 9
of Reference [8]. Figure 1, here, might be over a temperate ocean and thus
typical for much of earth’s surface. The area under
the black trace is about 300 W/m2 which is somewhat more than the
planet average of about 240 W/m2. Figure 1.5 is similar with area
under red curve ≈269 W/m2.
Figure 1: Thermal radiation from below assessed from top-of-atmosphere. Lower
wavenumber photons are lower energy. (original graph is from NASA [46])
Typical TOA
emission spectra such as shown in Figures 1 and 1.5 show the ‘notch’ associated
with the CO2
absorb/emit band. Notch development with increasing altitude was shown in
Figures 0.5 and 0.6. Existence of this notch demonstrates that terrestrial
radiation in this wavelength range is absorbed by IR-active gases which include
water vapor and the ghg which do not condense in the atmosphere such as CO2.
Perhaps not as obvious, the presence of the 600-740 wavenumber notch (~ beige
area in Fig 1) along with smaller notch at ozone (O3) also demonstrates
thermalization and that the radiation energy which was absorbed by trace IR-active
molecules was thermalized and substantially redirected to the absorb/emit lines
of water vapor molecules. The
WV molecules, progressively with altitude, emit the radiation energy to space.
Water vapor is greatly reduced at higher altitudes
(>~10 km), which allows some reverse-thermalization of the radiant flux back
to CO2 at the wavenumber range 600-740. The TOA notch is about 12%
less deep above 50 km than it was at 20 km. The approximate 18 W/m2
(in Fig 1) which is not reverse-thermalized back to the notch explains the
reduced flux at the notch.
The energy
entering the atmosphere from the surface matches very closely the Planck
spectrum for the temperature of the surface and emissivity about 0.99. In
Figure 1, the flux through the atmospheric window indicates a surface temperature of about
293 K. For wavenumbers 600-740 /cm the power (energy rate) at TOA if no CO2
is (MODTRAN at same total flux) about 0.33 W / m^2 / cm^-1 * 140 cm^-1 ≈ 46
W/m^2. The power radiating at the notch is about 0.2 W /m^2 / cm^-1 * 140 cm^-1
= 28 W/m^2. The 46 – 28 = 18 W/m^2 that is not emitted at the wavenumber range
600-740 has to be emitted at other wavenumbers. The redirected power which is emitted in
the wavenumber range 600-740 (28 W/m^2) could be from both CO2 and
water vapor.
Figure 1.5: Typical TOA radiant
emission.
An ‘experiment’
demonstrating the effect of reduced water vapor in the atmosphere already
exists. Near the poles, the extremely low temperatures result in very low water
vapor content while the CO2 level is about the same as everywhere else. With few water
vapor molecules available to emit radiation, more of the TOA emission is from CO2 molecules near 15 microns as shown in
Figure 9 of Ref [8]. Because the GHE at the poles is dominated by CO2
, an increase in CO2 causes the slight warming at the poles which has been
observed.
Approximately 98% of dry atmospheric molecules are non-ghg;
nearly all nitrogen and oxygen with about 1% argon. Near the surface, they are
substantially warmed by thermalization of the photonic energy absorbed by the
ghg molecules and, at higher altitudes, cooled by reverse-thermalization back
to the ghg molecules which radiate the energy to space.
6. Water vapor
Average measured
global atmospheric water vapor (total from surface to TOA) over the years is provided here at Figure 3.
Measured CO2 level is at Figure 7.
Liquid water has
a saturation vapor pressure which depends ONLY on the temperature of the liquid
water. The relation is available from multiple sources. Numerical values are
graphed at Figure 1.7 along with three different approximations. The
approximations are 2nd and 3rd order polynomials fit to
the data by EXCEL and the empirical approximation derived by Bolton which is
used by meteorologists [55].
All of these
approximations appear to match the measured saturation vapor pressure vs
temperature quite well over the temperature range of interest for earth
climate. The first derivative (slope) divided by the pressure (dp/dT/p vs T) is
the per unit (1/1) feedback effect of temperature change. As shown in the
bottom graph of Fig 1.7 the polynomial approximations appear to be deficient
especially at low temperature. The Bolton equation for saturation vapor
pressure in kPa vs temperature in C which is
p = 0.6112 * e^(17.67 * T /
(T+243.5))
appears to be plausible and is used
for subsequent work in this document.

Figure 1.7: Vapor pressure of water and fractional
rate of change per C degree change vs liquid water temperature.
The
rate-of-change of saturation vapor pressure is a measure of the saturation vapor
pressure increase from temperature increase resulting from the warming from
added water vapor in the atmosphere. This is the slope of the saturation
pressure-temperature curve which is obtained by taking the derivative (as in
calculus) of the equation for saturation vapor pressure vs temperature. The per
unit change (%/100 = 1/1) per C degree change is obtained by dividing by the
vapor pressure at that temperature.
This shows that,
although the saturation vapor pressure of water increases progressively with
temperature, the percent increase of VP declines and therefore the influence of
higher temperature actually declines.
The percent change of atmospheric
water vapor is assumed to vary directly with the percent change in liquid water
saturation vapor pressure.

Figure 2: Water vapor
declines with latitude and rapidly with altitude. [9] (original from NASA)
All absorbed radiation is thermalized i.e. the absorbed
energy is shared with surrounding molecules. Only WV molecules can absorb/emit
radiation in the wavenumber range 25 to 550/cm.
At the tropopause it is very cold, about 50 degrees Celsius
below zero (-58 °F). At this low temperature nearly all WV molecules have
condensed (or cooled by radiation and descended) leaving only about 32 ppmv WV
above this altitude compared to a global average of about 10,000 ppmv at ground
level. Accounting also for reduced pressure of about 0.26 atm results in a WV
population per unit volume above the tropopause of 32/10000 * 0.26 ≈ 1/1200 of
what it is at ground level. This huge gradation in WV molecules favors outward
radiation; with increasing amounts escaping directly to space with increasing
altitude.
The ‘hash’ in graphs of TOA radiation flux vs wavenumbers,
e.g. Figure 1 or 1.5, is evidence of radiation originating from a range of
altitudes (temperatures).
Although WV is reduced to 32 ppmv above the tropopause, CO2
remains at its ground level ppmv value. Therefore, above the tropopause most of the
remaining thermalized energy is reverse-thermalized to CO2 molecules
which emit it to space.
At very high altitudes, increased molecule spacing and
greatly diminished water vapor molecules result in the sharp peaks at nominal
absorb/emit wavelengths of non-condensing ghg (See Figure 1 & 1.5).
7. Effect of water vapor
increase
Energy goes from
ghg molecule to ghg molecule by electromagnetic radiation (EMR) at the speed of
light. But the photon energy absorbed by a molecule spends time in the molecule
called the relaxation time. Relaxation time is shorter at higher temperature
(Fig 0.3). It is about 5 microseconds at room temperature. More ghg molecules
means more time spent in 'relaxation' and less time at the speed of light. That
is why more water vapor (and at
the poles more CO2) slows the rate of energy flow from the surface to space
so the surface temperature must be increased to produce the same energy flux.
The average global water
vapor increase since 1895-2018 is about 10% (Fig 3). The average global temperature
increase 1895 to 2018 attributable to WV increase according to Equation (1) and
temperature data thru 2018 is about 0.70 K (Table 1).
The procedure to determine
the effect of water vapor increase using MODTRAN [47] is to determine a total
radiant flux for a particular base condition (scale factor = 1), apply the
scale on water vapor and then by trial and error change to temperature offset,
determine the surface temperature which produces the same total radiant flux
for the condition of study as for the base condition. The difference in surface
temperature between the base condition and the condition under study is the
effect on surface temperature of the change to WV. The default levels for all
noncondensing ghg (e.g. 400 ppmv for CO2) were used for all cases to
prevent any calculated effect from a change to them.
Water vapor change is
investigated at three scales. All available conditions were evaluated with
vapor pressure (VP) held constant and also with relative humidity (RH) held
constant. In all conditions except 10% increase for tropical atmosphere, the
temperature change was greater with RH held constant. The base condition always
gave exactly the same results for RH as VP except Flux for tropical atmosphere.
Table 0.5 Temperature change as determined by
MODTRAN [47] for several conditions. All are clear sky except one with light
rain and one using the std cirrus model as noted.
Condition
|
Flux,
W/m2
|
Held
constant
|
WV scale
|
Surface
temp, K
|
∆T, K
|
Tropical
atmosphere
(up to
20 deg latitude, 34.2% of area)
|
298.52
|
VP
|
1
|
299.7
|
base
|
1.1
|
300.59
|
0.89
|
1.2
|
301.07
|
1.37
|
296.824
|
RH
|
1
|
299.7
|
base
|
1.1
|
300.53
|
0.83
|
1.2
|
301.38
|
1.68
|
Mid-latitude
summer
(20 to
60 deg latitude, 52.4% of area)
|
288.064
|
VP
|
1
|
294.2
|
base
|
1.1
|
294.595
|
0.395
|
1.2
|
294.97
|
0.77
|
RH
|
1.1
|
294.78
|
0.58
|
1.2
|
295.35
|
1.15
|
Mid-latitude
winter
|
234.118
|
VP
|
1
|
272.2
|
base
|
1.1
|
272.43
|
0.23
|
1.2
|
272.645
|
0.445
|
RH
|
1.1
|
272.49
|
0.29
|
1.2
|
272.765
|
0.565
|
Subarctic
summer
(above
60 deg latitude, 13.4% of area)
|
269.538
|
VP
|
1
|
287.2
|
base
|
1.1
|
287.55
|
0.35
|
1.2
|
287.88
|
0.68
|
RH
|
1.1
|
287.69
|
0.49
|
1.2
|
288.165
|
0.965
|
Subarctic
winter
|
201.305
|
VP
|
1
|
257.2
|
Base
|
1.1
|
257.37
|
0.17
|
1.2
|
257.52
|
0.32
|
RH
|
1.1
|
257.4
|
0.2
|
1.2
|
257.59
|
0.39
|
1976 Std
atmosphere
|
266.272
|
VP
|
1
|
288.2
|
base
|
1.1
|
288.55
|
0.35
|
1.2
|
288.88
|
0.68
|
RH
|
1.1
|
288.7
|
0.5
|
1.2
|
289.19
|
0.99
|
Mid-latitude
summer, light rain & nimbo-stratus
|
283.542
|
VP
|
1
|
294.2
|
base
|
1.1
|
294.55
|
0.35
|
1.2
|
294.88
|
0.68
|
RH
|
1.1
|
294.69
|
0.49
|
1.2
|
295.17
|
0.97
|
Mid-latitude
summer, Std cirrus model
|
270.448
|
VP
|
1
|
294.2
|
base
|
1.1
|
294.56
|
0.36
|
1.2
|
294.9
|
0.7
|
RH
|
1.1
|
294.71
|
0.51
|
1.2
|
295.2
|
1.0
|
MODTRAN6 [48] provides
similar capability but imposes predefined WV vs altitude profiles for each
condition in place of selecting to hold either VP or RH constant. The WV
profiles incorporate the constraint that humidity cannot exceed 100%. The
already high WV in tropical areas is apparently not compatible with increasing
it by 10%. Similar plots to those made by MODTRAN are obtained by setting
MODTRAN6 to radiance, sensor altitude to 99 km, spectral range wavenumbers 250
to 1500, and resolution to 1.2/cm.
Table 0.6: Summary of results using MODTRAN6.
Condition
|
Flux,
W/m2
|
WC mult
|
Water
column, atm-cm
|
Temperature,
K
|
∆T, K
|
Mid-latitude
summer
(52.4 %)
|
269.594
|
1
|
3635.9
|
294.2
|
base
|
1.1
|
3999.49
|
295.636
|
1.436
|
Mid-latitude
winter
|
249.969
|
1
|
1059.7
|
272.2
|
Base
|
1.1
|
1165.67
|
272.34
|
0.14
|
Tropics
(34.2 %)
|
268.546
|
1
|
5119.4
|
299.7
|
base
|
1.1
|
5631.34
|
304.325
|
4.625
|
Subarctic
summer
(13.4 %)
|
265.441
|
1
|
2589.4
|
287.2
|
base
|
1.1
|
2848.34
|
287.81
|
0.61
|
Subarctic
winter
|
231.737
|
1
|
517.73
|
257.2
|
base
|
1.1
|
569.503
|
257.196
|
-0.004
|
US
standard, 1976
|
269.339
|
1
|
1762.3
|
288.15
|
base
|
1.1
|
1938.53
|
288.69
|
0.54
|
Area weighted,
winter/summer average results in ∆T of 0.5 K for MODTRAN and 0.75 K (excluding
tropics) for MODTRAN6 for 10% water vapor increase. These compare to 0.70 K for Equation (1) (Table 1).
8. Water vapor change
with time
Water vapor is the ghg which makes earth warm enough for
life as we know it. Increased atmospheric water vapor contributes to planet warming.
Water vapor molecules are more effective at absorbing terrestrial thermal
radiation than CO2 molecules. Humanity’s contribution to atmospheric
water vapor increase is primarily (≈ 90%) as a result of increased irrigation
(Figure 3.5), with comparatively small contribution from cooling towers at
electricity generating facilities. Fossil fuels make an insignificant
contribution to water vapor. Switching to ‘renewables’ will have little, if
any, effect on climate.
Because water vapor is a ghg, increased water vapor causes
the planet to warm, which further increases saturation vapor pressure of liquid
water and therefore further increases water vapor so there is a cumulative
effect. In control system analysis and electric circuit analysis as done by
engineers, this is called positive feedback and is quantified by a
dimensionless number which is the ratio minus one of the change with feedback
to the change if there was no feedback. This cumulative effect also increases
the rate of cooldown. (The term ‘feedback’ has a different meaning to Climate
Scientists and is quantified in units of W/m2).
Planet warming increases the saturation vapor pressure of
water (Figure 1.7) contributing to the water vapor increase. At present water
vapor is increasing faster than possible based on AGT increase alone. Global
temperature increase Dec 1978 – Aug 2021 from the UAH trend is about 0.135 K
per decade (this automatically includes any feedback effect). The assessment in
Sect 6 resulted in the calculation of average saturation vapor pressure
increase with temperature of 6.7% per degree C including compounding. The
percent increase in water vapor is assumed to be about the same as the percent
increase in saturation vapor pressure. Percent increase in water vapor due to temperature
increase = 0.135 * 6.7% = 0.9045% per decade.
Measured % increase of Total Precipitable Water (TPW) from
Figure 3 is 0.04313/29 = 1.49% per decade. Thus measured increase in WV is
about 1.49/0.9045 ≈ 1.65 times the amount for liquid water temperature increase
alone..
The comparison of the measured WV change with the WV change
calculated from temperature change over the full time period since Jan 1988 can
be calculated incrementally and shown graphically. The file for calculated
change is generated in EXCEL where each row contains:
WVn = WV(n-1) + (Tn – T(n-1))*
R * WV(n-1)
Where:
WVn = calculated WV in month n, kg/m^2
Tn = temperature anomaly in month n, K
R = effective
rate of WV increase resulting from feedback of temperature increase, 0.067/K (=
6.7 %/K)
The starting calculated WV is adjusted to make the starting
trends the same. This has no effect on the slope.
The results of this algorithm are
shown along with the actual WV anomaly measured and reported by NASA/RSS [11]
(plus 28.73). The highest calculated WV increase since Jan
1988 is obtained using HadCRUT4 reported temperatures and the lowest is
obtained using UAH reported temperatures. The resulting graphs are shown in Figures
2.8 and 2.9. Figure 2.8 also shows the linear trends assuming three different
values for average relative humidity remaining constant with increasing air
temperature (as calculated in GCMs).
Figure 2.8: Measured WV
vs calculated WV based on HadCRUT4 reported average global temperatures [23]. (R = 0.067/K) and trends assuming constant relative humidity.
Figure 2.9: Measured
WV vs calculated WV based on UAH reported average global temperatures [4]. (R = 0.067/K)
The average ratio of measured WV/calculated WV is obtained
by the ratio of the slopes of the regression lines. The ratio for HadCRUT4 with
R = 0.0737 is 0.04272/0.033571 = 1.27 and for R = 0.061 is 0.04272/0.03032 = 1.41.
The ratio for UAH is 0.04272/0.02612 = 1.64. The observation that measured WV
increased faster than the determination using temperature demonstrates that WV
leads the temperature change instead of being caused by it as assumed in the
GCMs.
A corroboration
of the long-term temperature trend is as follows: Assume that at the beginning
of the warm up the temperature increase was caused by something else. Then the
WV increase can be calculated from that temperature increase using the vapor
pressure vs temperature for water and the assumption that % increase in WV = %
increase in vapor pressure. But the WV has increased more than that so there
has to be an additional source of WV. The additional source of WV (nearly all
from irrigation) is the something else that produced the initial warming.
The increased water vapor also eventually causes increased cloud
cover and/or lower average cloud altitude which counters temperature increase and
will eventually limit it. Sustained increase of only about 1.7% of cloud area
would result in an eventual temperature decline of 0.5 °C [22].
More water vapor in the atmosphere means more warming. Water
vapor exhibits a logarithmic decline in absorption effect for equal added
increments of water vapor (Fig. 3 of Ref. [12]).
Essentially all of the ghg effect on earth comes from water
vapor. Clear sky water vapor measurements over the non-ice-covered oceans in
the form of total precipitable water (TPW) have been made since 1988 by Remote
Sensing Systems (NASA/RSS) [11]. A graph of this measured ‘global’ average anomaly
data, with a reference value of 28.73 added, is shown in the left graph of
Figure 3. This data is extrapolated earlier using CO2 level as a
proxy, with the expression kg/m^2 TPW = 4.5247 * ppmvCO2^0.31286.
The result is the right-hand graph of Figure 3 which shows approximately 7%
increase 1960-2005.
Figure 3: Average clear air Total Precipitable Water over all non-ice-covered
oceans as measured by NASA/RSS using satellite
based instrumentation and with extrapolation by me. (Left graph is by month, right graph is
by year average.). Estimated future assumes continuation of the slope of the monthly trend.
Clouds (average emissivity about 0.5) consist of solid
and/or liquid water particles that radiate approximately according to Planck spectrum and Stephan-Boltzmann (S-B) law (each
particle contains millions of molecules).
9. World Sources of Increased
Water Vapor
Irrigation, industrialization, and, increasing population
are causing the rise in atmospheric water vapor (WV) above that from feedback
(engineering definition of feedback) due to liquid water temperature increase.
A survey of available on-line literature provides direct and indirect
quantification of significant global sources of the extra increase.
Transportation fuel, linearly interpolated to 2017,
amounts to 113E15 BTU/y [31]. Energy content of a typical liquid fuel is
115,000 BTU/gal [32]. Liquid fuels weigh about 6.073 lb/gal = 2.75 kg/gal.
Therefore transportation fuels amount to
113E15 * 2.75/115000
= 2.7E12 kg fuel/y (a)
About 1.42 kg of WV is produced for each kg of liquid fuel
[32] so the amount of WV produced by transportation is
2.7E12 * 1.42 = 3.8E12
kg WV/y (b)
World electricity generation is now about 25,000
TWH/y [33]. At an average efficiency of 50% this requires a thermal input of
50,000 TWH/yr. Fuel source fractions of energy [34] in 2017 are approximately 0.38
coal, 0.36 natural gas and 0.26 non fossil fuel.
Coal combustion produces about 0.4 kg WV/kg coal [35].
Energy content of bituminous coal is about 8200Wh/kg [36]. The amount of WV
resulting from burning coal to generate electricity is then
50E15 * 0.38 *
0.4/8200 = 0.93E12 kg WV/y (c)
The amount of WV produced by natural gas (nearly all
methane, CH4) is readily calculated from the dominant chemical
reaction
CH4 + 2O2
=> CO2 + 2H2O (d)
Where a mole of methane weighs about 16 g and the two moles
of WV weigh about 18 g each.
Natural gas energy content is about 15,400 Wh/kg [36]. The
amount of WV resulting from burning natural gas to generate electricity is then
50E15 * 0.36 *36/16/15400
= 2.6E12 kg WV/y (e)
The total WV from all fossil fuel used to generate
electricity is then
0.9E12 + 2.6E12 = 3.5E12
kg WV/y (f)
Waste energy during electricity generation can be
approximately accounted for by evaporation of water in cooling towers, etc. At
50% efficiency the waste energy is the same as the energy in the electricity
produced, 25,000 TWH/yr = 25E12 kWh/y.
Latent heat of water = 2257 kJ/kg = 0.627 kWh/kg = 1.594
kg/kWh.
The amount of WV from waste heat (cooling tower, etc.)
during electricity generation is then
25E12 * 1.594 =
39.8E12 kg WV/y (g)
Irrigation is by far the largest source of WV. The increase
in irrigation is indicated by the increase in withdrawal for agriculture as
shown in Figure 3.5 [37].
Figure 3.5: Global water withdrawal includes both ground
water and surface water [37]
The total agricultural area equipped for irrigation in 2009
was 311E10 m2 of which 84% were actually being irrigated [38].
Estimating an increase of 2% to 2017, the total area being irrigated is now
about
311E10 * 0.84 * 1.02
= 266E10 m2 (h)
This is more than 4 times the area of France.
Total annual fresh water withdrawal (both ground and
surface) is now 3,986 km3 = 3.986E15 kg/y [39]. Of this, about
70% is for agricultural use [40]. This works out to
3.986E15 * 0.7/266E10
= 1052 kg/m2/y ≈ 1 m/y (i)
which appears reasonable because average rainfall for the
planet is about 1 m/y.
Evapotranspiration, WV from plants and landscape, is
discussed in the ‘thematic discussion’ of Aquastat [37]. From there, the amount
of precipitation on land is 110,000 km3 of which the fraction
evapotranspirated is 0.56 + 0.05 = 0.61. Given the planet surface area of
510.1E6 km2, and land fraction of 0.29 this results in the equivalent liquid depth of the total amount of water leaving the surface as WV as
110,000 *
0.61/0.29/510.1E6 = 0.00045 km = 0.45 m (j)
Water weighs 1000 kg/m3 so evapotranspiration
amounts to 450 kg/m2
Worldwide about 86% of irrigated area is flood irrigated
[54]. To simplify calculation, assume all irrigation is flood irrigation
approximated as furrow type [41]. Optimum frequency is to flood the furrows
about every 10 days [42]. Thus about half the area is covered by water 10% of
the time where evaporation from the water is about one meter per year [43] and
the rest of the time, the additional evaporation is assumed to be according to
the calculated evapotranspiration. Evapotranspiration prior to irrigation must
have been low or irrigation would not be done. Evapotranspiration with
irrigation, to be cost effective, is most likely to be much more than calculated.
These two uncertainties are assumed to approximately cancel each other. A further assumption is that, on average, irrigation is
applied for about 1/3 year. The total amount of WV resulting from irrigation is
then
[(0.1 * (1 + 0.45)/2
+ 0.9 * 0.45) * 266E10]/3 = 42.3E10 m3 = 42.3E13 kg/y (k)
These calculations are summarized in Table 1
|
Water vapor source
|
E13 kg/y
|
%
|
|
Irrigation
|
42.3
|
90.0 %
|
|
Transportation fuel
|
0.4
|
0.8 %
|
|
Fossil fuel for electricity generation
|
0.3
|
0.7 %
|
|
Cooling towers, etc. for electricity generation
|
4.0
|
8.5%
|
|
Total
|
47.0
|
100 %
|
Table 0: Summary of
contributions to atmospheric water vapor.
Approximately 42.3/47 = 0.90 or 90% of atmospheric WV
increase above that due to feedback (engineering definition of feedback) from
liquid water temperature increase results from irrigation. WV added by
irrigation might be particularly influential because it is added at locations
where natural WV is low aiding evaporation and water is shallow so it would
warm quickly.
Given the earth area of 510E12 m^2 and average annual
precipitation of about a meter or 1000 kg/m^2 the increased water use, mostly
for irrigation, results in 42.3E13/5.1E17 = 0.0008 = 0.08 % equivalent increase
in global precipitation.
10. Effect of TPW increase on clouds (added 9/17/18)
As TPW
is increased, condensation (cloud formation) occurs at lower average cloud
altitude and thus higher temperature. Lower altitude, higher temperature clouds
radiate more energy to the cosmic background. This partially counters the
warming from increased water vapor.
11. Approximate effect on
the planet of the net of ocean surface temperature (SST)
The average global ocean surface temperature oscillation is
only about ±1/7 K. It is defined to not
significantly add or remove planet energy. The net influence of SST
oscillation on reported AGT is defined as α-trend. In the decades immediately
prior to 1941 the amplitude range of the trends was not significantly
influenced by change to any candidate internal forcing effect; so the observed
amplitude of the effect on AGT of the net ocean surface temperature trend
anomaly then, must be approximately the same as the amplitude of the part of
the AGT trend anomaly due to ocean oscillations since then. This part is
approximately 0.29 K total highest-to-lowest extent with a period of
approximately 64 years (verified by high R2 in Table 1).
The measured AGT trajectory (Figure 9) suggests that the
least-biased simple wave form of the effective ocean surface temperature
oscillation is approximately saw-toothed. Approximation of the sea surface
temperature anomaly oscillation can be described as varying linearly from –A/2
K in 1909 to approximately +A/2 K in 1941 and linearly back to the 1909 value
in 1973. This cycle is assumed to repeat before and after with a period of 64 years.
Because the actual magnitude of the effect of ocean
oscillation in any year is needed, the expression to account for the
attribution of the ocean oscillation in each year to AGT is given by the
following:
ΔTosc = (A,y) K (degrees) (2)
where the attribution of the net of ocean oscillations to
AGT change is the magnitude of the effect on AGT of the surface temperature
anomaly trend of the oscillation in year y, and A is the maximum highest-to-lowest extent of the effect on AGT of
the net ocean surface temperature oscillation.
Equation (2) is graphed in Figure 4 for A=0.293

Figure 4: Ocean surface
temperature oscillations (α-trend) do not significantly affect the bulk energy
of the planet.
12. Comparison of
approximation with ‘named’ ocean cycles
Named ocean cycles include, in the Pacific north of 20N,
Pacific Decadal Oscillation (PDO); in the equatorial Pacific, El Nino Southern
Oscillation (ENSO); and in the north Atlantic, Atlantic Multidecadal
Oscillation (AMO).
Ocean cycles are perceived to contribute to AGT in two ways:
The first is the direct measurement of sea surface temperature (SST). The
second is warmer SST increases atmospheric water vapor which acts as a forcing
and therefore has a time-integral effect on temperature. The approximation,
(A,y), accounts for both ways.
SST data is available for three named cycles: PDO index,
ENSO 3.4 index and AMO index. Successful accounting for oscillations is
achieved for PDO and ENSO when considering these as forcings (with appropriate
proxy factors) instead of direct measurements. As forcings, their influence
accumulates with time. The proxy factors must be determined separately for each
forcing. The measurements are available since 1900 for PDO [17] and ENSO3.4 [18].
This PDO data set has the PDO temperature measurements reduced by the average
SST measurements for the planet.
The attribution of PDO and ENSO3.4 to AGT is calculated by:
PDO_NINO = Σyi=1900 (0.017*PDO(i) +
0.009 * ENSO34(i)) (3)
Where:
PDO(i) =
PDO index [17] in year i
ENSO34(i) =
ENSO 3.4 index [18] in year i
How this calculation compares to the idealized approximation
used in Equation (2) with A = 0.36 is shown in Figure 5.

Figure 5: Comparison
of idealized approximation of ocean cycle effect and the calculated effect from
PDO and ENSO.
The AMO index [19] is formed from area-weighted and de-trended
SST data. It is shown with two different amounts of smoothing in Figure 6 along
with the saw-tooth approximation for the entire planet per Equation (2) with A
= 0.36.
Figure 6: Comparison
of idealized approximation of ocean cycle effect and the AMO index through 2020.
The high Coefficients of Determination in Table 1 and the
comparisons in Figures 5 and 6 corroborate the assumption that the saw-tooth
profile with a period of 64 years provides adequate approximation of the net
effect of all named and unnamed ocean cycles in the calculated AGT anomalies. The AMO index, which dominates the ocean cycles,
has not yet started the decline assumed by the approximation.
13. Atmospheric carbon
dioxide
The level of atmospheric carbon dioxide (CO
2) has
been widely measured over the years. Values from ancient times were determined
by measurements on gas bubbles which had been trapped in ice cores extracted
from Antarctic glaciers [20]. Spatial variations between sources have been
found to be inconsequential [2]. The best current source for atmospheric carbon
dioxide level [21] is Mauna Loa, Hawaii. The left graph in Figure 7 provides
insight as to the fraction of atmospheric CO
2 for various times and
conditions. The planet came perilously close to extinction of all land plants and
animals due to the low level of CO
2 at the end of the last
glaciation. For plant growth, even at the current level the atmosphere is
impoverished for CO
2.
Figure 7: Atmospheric
carbon dioxide levels.
The trajectory shape, including
data back to 1700 from Law Dome (275 ppmv), was used as a proxy to extrapolate
TPW back to 1700.
14. Climate sensitivity
determined using MODTRAN6
MODTRAN6 calculates the radiation flux given inputs of water
vapor, CO2, and surface temperature. The procedure to determine
Climate Sensitivity (CS) to CO2 is simply to find the flux change separately
from CO2 change and temperature change holding water vapor constant
and then apply:
ꝺT/ꝺCO2 = ꝺT/ꝺFlux *ꝺFlux/ꝺCO2 * CO2/T
This gets the temperature change as a ratio to CO2
change. Multiply by the CO2 ppmv change to get the temperature
change in K.
For the 1976 standard atmosphere;
Water column, atm, cm
|
CO2
|
Temperature, K
|
Flux
|
Partial derivative
|
1762.3
|
400
|
288.15
|
269.339
|
|
400
|
288.35
|
269.611
|
ꝺT/ꝺF = 0.2/0.272 = 0.735
|
407
|
288.15
|
269.320
|
ꝺF/ꝺCO2 = -0.019/7 = -0.00271
|
ꝺT/ꝺCO2 = 0.735 * -0.00271 * 400/288.15
= -0.00276 K/ppmv CO2
Because the temperature is reduced by added CO2
the temperature must be increased by the same amount to obtain the required
flux. Climate Sensitivity, increasing pre-industrial CO2 = 275 ppmv
by 275 ppmv, for this calculation is then CS = 275 * 0.00276 = +0.76 K.
The same procedure was applied to the other conditions which
have default values available in MODTRAN6. Like zones were averaged winter and
summer and zones weighted 34.2% tropics (to ±20 deg latitude), 52.4% mid
latitude (±20 to ±60 deg latitude), and 13.4% subarctic (±>60 deg latitude).
This calculation resulted in CS = 1.07 K for doubling CO2 to 550 ppmv
from 275 ppmv.
These calculations of CS use the default values in MODTRAN6.
Assessments in Section 2 have determined that CS is not significantly different
from zero.
15. Sunspot numbers
Sunspots have been regularly recorded since 1610. In 2015
historical (V1) SSN were reevaluated in light of current perceptions and more
sensitive instruments and are designated as V2. The V2 SSN data set is used
throughout this assessment. V2 SSN [15] are shown in Figure 8.
Sunspot numbers (SSN) are seen to be in cycles each lasting
approximately 11 years. The current cycle, called 24, has been comparatively
low, peaked in 2014, and is now (Aug 2018) near zero.
The Maunder Minimum (1645-1700), an era of extremely low SSN,
was associated with the Little Ice Age. The Dalton Minimum (1790-1820) was a
period of low SSN and low temperatures. An unnamed period of low SSN (1880-1930)
was also accompanied by comparatively low temperatures.
An assessment of this is that sunspots are somehow related
to the net energy retained by the planet, as indicated by coincident changes to
the average global temperature trend. Fewer sunspots are associated with
cooling, and more sunspots are associated with warming. Thus the hypothesis is
made that SSN are proxies for the rate at which the planet accumulates (or
loses) radiant energy over time. Therefore the time-integral of the SSN anomalies
is a proxy for some of the amount of energy retained by the planet above or
below breakeven.
Also, a lower solar cycle over a longer period might result
in the same increase in energy retained by the planet as a higher solar cycle
over a shorter period. Both amplitude and duration are inherently accounted for
in Equation (1).
SSN change correlates with change to Total Solar Irradiance
(TSI) so SSN anomaly could also be acting as proxy for TSI anomaly. Because AGT
change has been found to correlate with SSN change, the SSN change might also
act as a catalyst on some other factor (perhaps clouds [22]) which have a substantial
effect on AGT. Considered forcings are a power thing so each yearly average
power quantity is divided by the effective thermal capacitance to obtain the
temperature increment (an energy thing). Ocean cycles are considered to contribute
temperature directly; any accompanying forcing averages to zero over time.
Figure 8: V2 SSN [15] thru 2020
16. AGT measurement data
set
In the last few years, reported temperature data, especially
land temperature data, have been changed by the reporting agencies. This
detracts from their applicability in any correlation.
Rapid year-to-year changes in reported temperature anomalies
are not physically possible for true energy change of the planet. The sharp
peak in 2015-2016, which coincides with an extreme El Nino, is especially
distorting.
A further bit of
confusion is introduced by satellite determinations. Anomalies they report as
AGT anomalies are actually for the lower troposphere (LT), have a different
reference temperature (reported anomalies determined using satellite data are
about 0.2 K lower), and appear to be somewhat more volatile (about 0.15 K
further extremes than surface measurements) to changes in forcing.
The data set used for this assessment is the current
(5/27/16) HadCRUT4 data set [23] extended through 2020. This set is shown in
Figure 9.
Figure 9: HadCRUT4
data set as used here.
17. The AGT Model
Most modeling of global climate has been with Global Climate
Models (GCMs) where physical laws are applied to a three-dimensional grid
consisting of hundreds of thousands of discrete blocks (elements). Interactions
between the discrete blocks are analyzed using super computers with an end
result being calculation of the AGT trajectory. This might be described as a
‘bottom up’ approach. Although theoretically promising, multiple issues
currently exist with this approach. Reference [13]
discloses
that essentially all of the more than 100 current GCMs are obviously faulty. The growing separation between calculated and measured AGT
as shown at Figure 9 in Ref. [14] also suggests some factor is missing.
The approach in the analysis presented here is ‘top down’.
This type of approach has been called ‘emergent structures analysis’. As
described by Dr. Roy Spencer in his book The great global warming Blunder, “Rather
than model the system from the bottom up with many building blocks, one looks
at how the system as a whole behaves.” That approach is used here with strict
compliance with physical laws.
The basis for the algorithm for assessment of AGT is the first law of
thermodynamics, conservation of energy, applied to the entire planet as a
single entity. Much of the available data are forcings or proxies for forcings
which must be integrated (mathematically as in calculus, i.e. accumulated over
time) to compute energy change. Energy change divided by effective thermal
capacitance is temperature change. Temperature change is expressed as anomalies
which are the differences between annual averages of measured temperatures and
some baseline reference temperature; usually the average over a previous
multiple-year time period. (Monthly anomalies, which are not used here, are
referenced to previous average for the same month to account for seasonal norms.)
With CO2
rejected as a significant contributor to warming, the remaining factors to be
explicitly considered are:
Ocean cycles
SSN
WV
the tiny net feedback from the degree
or so increase in AGT which has occurred since the depths of the Little Ice
Age.
These factors
are combined in an EXCEL file, with coefficients (A,B,C,D,F) assigned to each
factor. The file is set up for numerical integration in yearly steps, where any
EXCEL row is as follows:
Tanom = Tanom(n-1) + (A,y) – (A,y)(n-1)
+ thcap-1 * {B*[Sy-Sref] + C*(lnTPWn - lnTPW(n-1)]
– F * [(Ty/T1700)4 – 1]} (1)
Where:
Tanom =
Calculated average global temperature anomaly at the end of year y with respect
to the baseline of the anomaly for the measured temperature data set, K
A =
highest-to-lowest extent in the saw-tooth approximation of the net effect on
planet AGT of all ocean cycles, K
y = year for
which the net gain or loss in temperature (energy) is being calculated
n = any year
(A,y) = value
of the net effect of ocean cycles on AGT in year y (α-trend), K
thcap = effective thermal capacitance [1] of the planet = 17±7
W yr m-2 K-1
1895 =
Selected beginning year of acceptably accurate worldwide temperature anomaly
measurements to be compared to calculated anomalies.
B = combined
proxy factor and influence coefficient for energy change due to sunspot number
‘anomaly’ change, W yr m-2
Sy
= average daily v2 sunspot numbers [15,16] in year y
Sref =
baseline for referencing SSN anomalies. Average v2 SSN 1640-2018.
C = combined
proxy factor & influence coefficient for energy change due to TPW change, W
yr m-2
TPWn
= total precipitable water in year y, kg m-2 (from measurements and
extrapolation for Fig 3)
F = 1 to
account for change to S-B radiation from earth due to AGT change, W yr m-2
Ty
= AGT calculated by adding the HadCRUT4 reference temperature to the reported
anomaly, K
T1700
= AGT in 1700 = 288.05 K
D = starting
value for Tanom (Tanom in 1699) which shifts the calculated trajectory
vertically on the graph, without changing its shape, to best match the measured
data, K.
The attribution of each factor is determined by maximizing
the Coefficient of Determination, R2. Wikipedia has a good example
for how to set up the file to determine R2.
18. Comments
regarding the method used in developing and using Equation (1)
Selection of causal factors must be rational; projections
before and after the matched period must be reasonable; and R2 must
be high for results to be useful.
Equation (1) is calibrated against measured AGT to determine
the partial attribution of each preselected main causal factor of climate
change. The attribution of each factor is revealed by the derived coefficients
which are adjusted by trial-and-error to obtain the highest R2. Best
estimate for the coefficients is the set which produces the best match of
calculated to measured AGT 1895-2020.
Several runs with different assumed values for Sref showed
low sensitivity to this parameter and also indicated lower sensitivity to SSN
than previously determined. The average SSN value, including 60 years of zero
SSN preceding the start of the warmup in 1700, is 66. Setting Sref = 66
resulted in estimated AGT at the depths of the Little Ice Age (LIA) to be about
1.1 K below current measured AGT. This determination of LIA AGT is consistent
with estimates of AGT at the depths of the LIA by others.
19. Results from the AGT model
By definition, energy change (the average power or forcing)
for each year divided by effective thermal capacitance is temperature change
for that year.
In all cases in this document coefficients (A, B, C, & D)
are reported which achieved maximum R2. F=1 for all cases which
accounts for increased temperature driving absorb/emit as well as the radiation
which goes through the ‘atmospheric window’. Incremental convergence to maximum
R2 is accomplished by sequentially and
repeatedly adjusting the coefficients.
Measured temperature anomalies in Figure 10 are data as
shown in Figure 9. The excellent match of the up and down trends since before 1900 of
calculated and measured temperature anomalies, shown here in Figure 10, demonstrate
the usefulness and validity of the calculations. All reported values since
before 1900 are within the range ±2.5 sigma (±0.225 K) from the calculated
trend. Note: The variation is not in the method, or the measuring instruments
themselves, but results from the effectively roiling (at this tiny magnitude of
temperature change) of the object of the measurements. [44]
Sunspot numbers for
the years 2017-2020 are from Australian Bureau of Meteorology [16]. After 2020
the assumptions for the calculations are listed on the graph.
Some noteworthy volcanoes and the year they occurred are also
shown on Figure 10. Prior to 1988 only an approximation of the WV trend is
available so no consistent AGT response is observed. The slight reduction of
measured temperature compared to calculated temperature in 1991 might have been
contributed to by mount Pinatubo, Volcano Explosivity Index (VEI) = 6.
Much larger volcanoes, VEI 7 or more (each VEI
number is ten times the intensity of the next lower number), can cause significant
temporary global cooling from the added reflectivity of aerosols and airborne
particulates. The Tambora eruption, VEI 7, which started on April 10, 1815 and
continued to erupt for at least 6 months, was approximately ten times the
magnitude of the next largest in recorded history and led to 1816 which has
been referred to as ‘the year without a summer’. The cooling effect of that
volcano exacerbated the already cool temperatures associated with the Dalton
Minimum.
Figure 10: Measured average global
temperature anomalies with calculated past and future trends using Sref = 66 and with V2
SSN. R2 = 0.923371.
Notice also in
Figure 10 the small difference in prediction with and without sunspots. This
is because AGT is dominated by WV and, if the WV continues to increase at
the trend rate since 1988, it might prevent the temperature decline many are
predicting as a result of the quiet sun.
Coefficients in Equation (1) which were determined by
maximizing R2 identify contributions for each of the factors
explicitly considered. Factors not explicitly considered (such as unaccounted for residual (apparently random)
variation in reported annual measured temperature anomalies, aerosols, CO2,
other non-condensing ghg, volcanoes, ice change, etc.) must find room in
the unexplained residual, and/or by occupying a fraction of the effect
otherwise accounted for by each of the factors explicitly considered.
Values of the derived coefficients and other results are
summarized in Table 1. Note that a coefficient of determination, R2
= 0.919070 means a correlation coefficient of 0.96. Each % cause includes the added amount
from its effect on AGT.
A demonstration that the influences of WV and solar
are similar (nearly proportional) is shown by smoothing the measured
temperatures prior to maximizing R2. This converges to a
substantially increased solar influence and higher R2. The resulting
graph is shown in Figure 10.6 and the associated data as file # Aintsm in Table
1.
Figure 10.6: Measured
average global temperature anomalies with calculated past and future trends using
Sref = 66, V2 SSN and measured temperatures 5-year smoothed prior to maximizing
R2. R2 = 0.96472.
The effect of different values for thcap have also been
investigated [53].
Table 1: A, B, C, D refer to coefficients in Equation 1. The column headed # is a code identifying the particular EXCEL file used.
|
#
|
Fig
|
Period end
|
OCEAN
A
|
SUN
B
|
TPW
C
|
Starting anomaly
D
|
R2
|
1895-end ΔTTPW K
|
% cause of 1909-end AGT change
|
|
sun
|
sea
|
TPW
|
|
Aint
|
10
|
2020
|
.279
|
.000227
|
150.7
|
-.356
|
.923371
|
.90
|
3.0
|
13.9
|
83.1
|
|
Aintsm
|
10.6
|
2020
|
.3081
|
.001015
|
117.4
|
-.3864
|
.964742
|
.70
|
14.3
|
16.4
|
69.3
|
As shown in Figure 11, the AGT increase trend referred to as
Global Warming or Climate Change is profoundly dominated by water vapor
increase trend. The future AGT trend depends primarily on WV. Long term WV
increase correlates with irrigation increase and is inherently self-limiting.
AGT increase is therefore also inherently self-limiting. Short term WV fluctuation
appears to vary randomly with ocean surface temperature roiling and occasional
transients associated with el Nino/la Nina. The attribution to WV assumes
continuation of prior TPW increase trend, 0.051 kg/m2/yr, which
might not occur.
Figure 11: Attribution
of each factor to temperature change as of 2020 for case identified as # Aint.
Figure 11.1 is similar to Figure 11 but is for the case
identified as Aintsm. The main difference is increased attribution of solar and
decreased attribution of WV.
Figure 11.1: Attribution
of each factor to temperature change as of 2020 for case identified as # Aintsm.
The high
attribution of WV to AGT is explained by the population gradient from global
average of about 10,000 ppmv (1%) WV at surface (4% in the tropics) to 32 ppmv
at top of tropopause. Most of the outward directed photons from WV molecules at
high altitude but below the tropopause make it all the way to space. This is
demonstrated by the ‘hash’ in radiation flux from the WV as shown in TOA graphs of
radiation flux vs wavenumber, Figures 1 and 1.5.
20. Attribution
quantified by sunspot number anomaly proxy.
Although the
comparatively weak connection between AGT and SSN (which acts as a proxy for
the influence of solar change on AGT change) is demonstrated, the mechanism by
which this takes place remains somewhat speculative.
Various papers have been written
that indicate how the solar magnetic field associated with sunspots can
influence climate on earth. These papers posit that decreased sunspots are
associated with decreased solar magnetic field which decreases the deflection
of and therefore increases the flow of galactic cosmic rays on earth.
Henrik Svensmark, a Danish physicist, found that increased
flow of galactic cosmic rays on earth caused increased low altitude (<3 km)
clouds and planet cooling. An abstract of his 2000 paper is at [24]. Marsden
and Lingenfelter also report this in the summary of their 2003 paper [25] where
they make the statement “…solar activity increases…providing more shielding…less low-level cloud cover… increase surface air
temperature.” These findings have been further corroborated by the cloud
nucleation experiments [26] at CERN.
These papers [24, 25] associated the increased low-altitude clouds with
increased albedo leading to lower temperatures. Increased low altitude clouds
would also result in lower average cloud altitude and therefore higher average
cloud temperature. Although clouds are commonly acknowledged to increase
albedo, they also radiate energy to space so increasing their temperature
increases S-B radiation to space which would cause the planet to cool. Increased
albedo reduces the energy received by the planet and increased radiation to
space reduces the energy of the planet. Thus the two effects work together to contribute
to AGT change of the planet.
A contributing or possibly alternate speculation is that
clouds might also be affected by solar wind. End result is the same: Sunspot
number anomalies are proxies for attribution of solar change to AGT change.
Simple analyses [22]
indicate that either an increase of approximately 186 meters in average cloud
altitude or a decrease of average albedo from 0.3 to the very slightly reduced
value of 0.2928 would account for all of the 20th century increase
in AGT of 0.74 K. Because the cloud effects work together, most of AGT change
is from WV change, and part of the temperature change is due to ocean
oscillation (low in 1901, 0.17 higher in 2000), substantially less cloud change
would suffice.
21. Hind Cast
Estimate
Average global temperatures were not directly measured in 1700
(accurate thermometers had not been invented yet). Recent estimates, using
proxies, are few. The temperature anomaly trend that Equation (1) calculates
for that time is consistent with other estimates.
As a possibility, the period and amplitude of oscillations
attributed to ocean cycles demonstrated to be valid after 1895 are assumed to
maintain back to 1700. Equation (1) begins integration in 1700 with D as the
beginning of the combined value.
Temperature anomalies thus calculated, estimate likely
trends since 1700 and actual trends of reported temperatures since they have been
accurately measured world wide. This
assessment is shown in Figure 12.
Figure 12: Calculated
temperature anomalies using Equation (1) with the same coefficients as for
Figure 10.6 and V2 SSN. Measured temperature anomalies from Figure 9 and anomaly
range estimates determined by Loehle are superimposed.
A survey [27] of non-tree-ring global temperature estimates
was conducted by Loehle including some for a period after 1700. Simplifications
of the 95% limits found by Loehle are also shown on Figure 12. The spread
between the upper and lower 95% limits are fixed, but, since the anomaly
reference temperatures might be different, the limits are adjusted vertically
to approximately bracket the values calculated using Equation (1). The fit
appears reasonable considering the uncertainty of all values.
Calculated temperature anomalies look reasonable back to 1700. They
qualitatively agree with Vostok, Antarctica ice core data but decidedly differ
from Sargasso Sea estimates during that time (see the graph for the last 1000
years in Reference [2]). Worldwide assessments of average global temperature,
that far back, are sparse and speculative. Ocean oscillations might also have
been different from assumed.
22. Step changes in AGT are not possible
Interpretation of a reported sudden AGT increase (or
decrease) as planet energy increase (or decrease) is physically impossible
because of the huge effective thermal capacitance which results in a 5-year
time constant [1] for thermal response of the planet to a step change in
forcing.
23. Caveats on
Predictions
1. A candidate cause must not have already been ruled out.
CO2 was ruled out in Section 2.
2. Sunspot numbers are a proxy for both the influence of TSI
and also, as found by Svensmark [24], the influence of clouds. Records for
neither TSI nor cloud cover extend back to the LIA.
3. AGT is very sensitive to total cloud cover [22] which in
turn varies with water vapor content (Fig 3), sunspots, surface temperature and
atmosphere temperature.
4. Global average ocean cycle surface temperatures (α trend) are
believed to vary in period and intensity in response to as yet uncertain cause.
The approximation here is working well since 1895. Future measurement might
indicate a different period and/or better wave form or better yet an ocean
cycle prediction based on planetary cycles or other predictable natural
phenomenon. In any event, their attribution is cyclic, i.e. no significant net
attribution on the long term.
24. Conclusions
Three factors explain essentially all of AGT change since
before 1900. They are ocean cycles, accounted for with an approximation, solar influence
quantified by a proxy which is the SSN anomaly and, the gain in atmospheric
water vapor measured since Jan, 1988 and extrapolated earlier using measured CO2
as a proxy.
Others have looked at only amplitude or only duration
factors for solar cycles and got poor correlations with average global
temperature. As sometimes done, this procedure violates the relation between
math and the physical world. The excellent (and computationally valid)
correlation comes by accounting for both amplitude and duration, which is done
in Equation (1). Prediction of future sunspot numbers more than a decade or so
into the future has not yet been confidently done.
The β-trend is the estimated true average
global temperature trend (the net average global energy trend) during the
planet warm up from the depths of the Little Ice Age.
The net effect of ocean oscillations is to cause the surface
temperature α-trend to oscillate above and below the β-trend. Equation (1)
accounts for both trends. Measured ocean cycles appear to have not started the
decline assumed in the approximation.
Warming attributed to increasing water vapor explains most
of past warming and the possibly still rising measured AGT trend in spite of
declining sunspot and ocean cycle forcings. Increasing WV might delay or even
prevent global cooling.
The measured water vapor increase has been markedly more
than expected from liquid surface water temperature increase alone. The extra
increase appears to be mostly (about 90%) from increased irrigation. WV
increase is ultimately self-limiting.
Long term (decades) prediction of average global
temperatures depends weakly on long term prediction of sunspot numbers. Longer
term (centuries) will depend partly on prediction of longer term variation in
solar output.
Humanity has wasted over a trillion dollars in failed
attempts using super computers to demonstrate that added atmospheric CO2
is a primary cause of global warming and in misguided activities to try to do
something about it. An unfunded engineer, using only a desk top computer,
applying a little science and some engineering, discovered a simple equation
that unveils the mystery of global warming and describes what actually drives
average global temperature. The refined version of the equation is presented herein
as Equation (1).
25. References:
1. Effective
thermal capacitance & time constant: Schwartz, Stephen E., (2007) Heat
capacity, time constant, and sensitivity of earth’s climate system, J. Geophys. Res., vol. 113, Issue D15102,
doi:10.1029/2007JD009373
14. Analysis
with V1 SSN sans water vapor: Pangburn 2014, Energy & Environment V25, No. 8 1455-1471